Comer: Contempt proceedings to begin now against Bill and Hillary Clinton
As you know, both Bill and Hillary Clinton, in effect, spit on the subpoenas issued to them by House Oversight Committee Chairman James Comer of Kentucky.
As you know, both Bill and Hillary Clinton, in effect, spit on the subpoenas issued to them by House Oversight Committee Chairman James Comer of Kentucky. They might be leaders of the party that says “no one is above the law,” but they --- like most of their Democrat contemporaries, come to think of it --- obviously have no intention of applying that principle to themselves. The Clintons never have.
President Bill Clinton had been scheduled for a hearing last Tuesday for a closed-door deposition regarding his frequent cohort Jeffrey Epstein, who had been awaiting trial on sex trafficking charges and conspiracy at the time of his death in his jail cell in August 2019. He was a no-show.
Hillary was scheduled to appear behind closed doors on Wednesday. Needless to say, she didn’t quite get around to coming, either.
The Clintons assert that they’ve already provided the Oversight Committee with all the information they have on Epstein and his convicted gal-pal Ghislaine Maxwell. Sorry, but that has nothing to do with going on the record with answers to specific questions, and the Clintons know it. Say, if you’re ever called to testify before a congressional committee, you might want to try this lame “King’s X” yourself and see how far you get with it.
If you’d like a little background on the Epstein case at this late date, here it is.
Clinton attorneys claimed to Politico that the House subpoenas are “not related to a valid legislative purpose” and are therefore “invalid and legally unenforceable.” Again, you just try that sometime. And while you’re at it, ask how that strategy might have worked for Trump associates Steve Bannon and Peter Navarro, who as you know were sentenced to prison for that same charge under a Democrat Congress.
Now, the update: Chairman Comer has announced that contempt proceedings against the Clintons will begin on Wednesday.
“Facing contempt of Congress,” Comer said, “the Clintons’ lawyers made an untenable offer: that I travel to New York for a conversation with President Clinton only. No official transcript would be recorded, and other Members of Congress would be barred from participating. I have rejected the Clintons’ ridiculous offer.”
He continued, “The Clintons’ latest demands make it clear they believe their last name entitles them to special treatment. The House Oversight Committee’s bipartisan subpoenas require the Clintons to appear for depositions that are under oath and transcribed. Former President Clinton has a documented history of parsing language to evade questions, responding falsely under oath, and was impeached and suspended from the practice of law as a result.”
He called the demand for no official transcript “indefensible” and “an insult to the American people who demand answers about Epstein’s crimes. Without an official record, he said, “Americans would be left to rely on competing accounts of what was said.”
Yes, we sure would. Let’s see...to find out exactly what was said in testimony, would we want to rely on The New York Times or the Washington Post? So hard to choose…
Comer continued to make his case: “Former Secretary Clinton’s on-the-record testimony is necessary for the Committee’s investigation given her knowledge from her time as Secretary of State of the government’s work to counter international sex-trafficking rings, her personal knowledge of Ms. Maxwell, and her family’s relationship with Mr. Epstein.”
In a post on X, Clinton spokesperson Angel Urena denied that they’ve said no to a transcript. Okay, then what is the hold-up for the depositions? Well, Urena also trotted out the same old suggestion that Republicans are really just trying to protect Trump, accusing the Oversight Committee of “misdirecting to protect you-know-who and God knows what.”
When asked if he thought the Clintons should comply with the subpoenas, Jon Stewart said yes but then seemed to qualify his answer. “I absolutely do,” he said. “But why should they comply if the Department of Justice is not complying with releasing the files?”
He went on: “...Is ‘compliance’ kind of a specialized, individual, indigenous opportunity, or should it be universal? The Department of Justice has subpoenaed them to testify in the Jeffrey Epstein case while not complying with releasing the files.”
We would point out, however, that it wasn’t the DOJ that subpoenaed the Clintons. These were subpoenas from the head of a congressional committee. What would the issuance of congressional subpoenas necessarily have to do with any action or inaction on the part of the DOJ? Though we are not attorneys, it seems to us that Stewart is muddying the water by mixing up two separate legal issues.
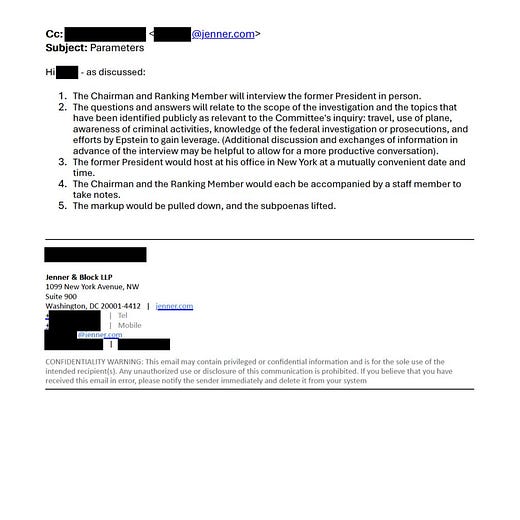
Also, the Oversight Committee responded to Urena’s post on X, saying, “One of the Clinton’s pawns [as in, Urena] claimed to the fake NYT that they never ruled out a transcript. The receipts tell a different story --- they demanded that there be only one staffer “to take notes” for each side during an ‘interview.’ Subpoenas and depositions are not suggestions.”
They illustrated this commentary with a string of communications --- names redacted --- backing up their claim.
As reported by FOX News Digital, Texas Rep. Brandon Gill, a member of the committee, said their panel has bent over backwards to accommodate the Clintons and said their refusal to comply left the committee with no choice but to pursue contempt charges.
In case you didn’t see it, here’s legal professor and author Jonathan Turley’s column from about a week ago about bringing contempt charges against the Clintons.
“There was as time,” Turley wrote, “when subpoenas were viewed as more than just discretionary matters. Counsel has insisted that the testimony is unnecessary and a distraction. However, that is not a ground that any court would view as justification for knowingly and repeatedly ignoring a lawfully issued subpoena.”
The Clintons have simply chosen “open defiance,” he wrote. “For those who have denounced a two-tier justice system, there is nothing more entitled and privileged...Such rules do not apply to the Clintons, who feel that they have the license to choose when they will appear.”
Turley said he’s “baffled” by their legal strategy. So he won’t be surprised now if the Clintons are indeed charged with contempt of Congress.
It’s refreshing to see the Clintons NOT getting special treatment for once. Bob Hoge at RedState poses the logical question: If the Clintons have already told everything they know, then what is the problem with just coming in and getting it on the record?
“With each passing year,” Hoge observes, “the Clinton legacy becomes more and more tainted. Why can’t they just show up like normal people and tell us what they know? I don’t have the precise answer to that --- but I have a more general one. They won’t show because they’re an elitist, entitled couple who think they’re above it all. What they’re really proving, though, is that they’re beneath our contempt.”
It occurs to us that we’ve been commenting on the Clintons and the seemingly infinite varieties of their taint since at least as far back as 1992. That’s getting up to 35 years. (Note to those who like to do math: we began our writing careers at age 4.) It sure would be nice to finally be able to write about some justice and accountability when it came to them and their exploits. And then to close that book.
After all these years, wouldn’t it be funny if the Clintons finally got their comeuppance not over something they did, but something they didn’t do?








